Introduction. Early-stage follicular lymphoma (FL) is usually managed with involved field radiotherapy (IFRT), allowing a complete and long-lasting eradication of the disease in 40-50% of patients (pts). The aim of this multicenter phase II prospective study was to evaluate if a minimal residual disease (MRD)-driven immunotherapy consolidation after IFRT can improve the outcome of pts unlikely to be cured by IFRT only, and to assess the therapeutic effect of IFRT and anti-CD20 consolidation by MRD evaluation.
Methods. One hundred and ten pts with stage I/II FL were enrolled; 106 were evaluable and treated with 24 Gy IFRT. Peripheral blood (PB) and bone marrow (BM) samples were centralized to the FIL (Fondazione Italiani Linfomi) MRD Network of EuroMRD-certified laboratories. In pts BCL2::IGH+ at baseline by both nested PCR (NEST) and RQ-PCR (RQ) in the BM and/or (a/o) PB, MRD was analyzed after IFRT and every 6 months over a 3-year period. Pts who were MRD+ by both NEST and RQ in the BM a/o PB after IFRT or who became MRD+ during the follow-up were treated with 8 weekly doses of the anti-CD20 monoclonal antibody ofatumumab (OFA). The primary objective of the study was to define the efficacy of immunotherapy in obtaining a negative MRD.
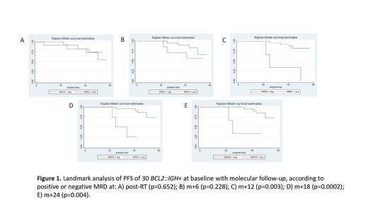
Results. Of the 106 evaluable pts, 50 were males (47%). Median age was 55.5 years (29-83). The FLIPI score was 0 in 60% of pts, 1 in 34%, 2 in 6%; 69% of pts had inguinal site involvement, significantly more frequent in young patients. At baseline, 30.5% of pts had a BCL2::IGH rearrangement (30 MBR, 1 MBR and mcr, 1 mcr) in the BM a/o PB; the concordance between compartments was 87%. BCL2::IGH+ and BCL2::IGH- pts were not significantly different, except for a younger age (p 0.009) and a more frequent FLIPI 0 (p 0.052) among marker negative cases. All but 1 pt achieved a clinical response after IFRT; 1 pt died soon after IFRT of unrelated causes. MRD evaluation after IFRT revealed the persistence of BCL2::IGH+ cells in the PB a/o BM in 60% of pts. MRD+ pts, either after IFRT (n=18) or in case of conversion to MRD+ during the follow-up (n=8), received OFA, obtaining a conversion to MRD- in 23/25 evaluable pts (92%, CI 74-99%), significantly superior to the expected 50%. After a median follow-up of 46.3 months (m) (range 11-66), of the 23 pts who achieved a MRD- with OFA, 5 returned MRD+ (4 underwent OFA re-treatment, achieving a second MRD-, 1 relapsed as a transformation), 4 relapsed being MRD-, 14 remain in complete remission and MRD-, with a duration of molecular response at the last molecular assessment of 30 months (range 6-36). Overall, a clinical relapse was observed in 29 pts submitted to IFRT and 1 patient progressed soon after IFRT. A confirmed histologic transformation to DLBCL was observed in 5 of these patients. Among the 73 “marker negative” patients, 20 relapsed (27.4%) over time, whilst among the 32 BCL2::IGH+ at baseline 9 (28.1%) were resistant or relapsed (p=0.939). The administration of OFA was associated to a significantly reduced risk of POD24 (p= 0.035). Overall, the 24-m and 36-m overall survival (OS) were 100% and 98.9%, respectively; the 24-m and 36-m PFS were 83.7% and 77.4%, respectively. PFS was not different according to the presence or absence of BCL2::IGH at enrollment (p=0.820). PFS was significantly different according to the FLIPI score (p=0.041), but not different according to gender (p=0.696), stage I-II (p=0.122), histological grade (p=0.212), inguinal nodal site vs others (p=0.492). The Kaplan Meier landmark analysis, stratified by MRD, at m+6 (p=0.228), m+12 (p=0.003), m+18 (p=0.0002), m+24 (p=0.004) showed that PFS significantly improved from m+12 onwards when a negative MRD was present (Figure 1).
Conclusions. IFRT alone is often insufficient to eradicate FL, inducing a MRD- status only in 40% of pts, long-lasting only in a third of them. An immunotherapy consolidation with OFA after IFRT in MRD+ pts was capable of increasing the molecular responses to 92%, allowing to achieve the primary objective of the study, though this effect was not always persistent. The achievement of a molecular remission correlated significantly with a reduction in the incidence of relapse over time, although this strategy was applicable only to 30% BCL2::IGH+ PET/CT staged FL pts. A consolidation strategy with more effective agent should be advisable. With these limits, a clinical advantage of the MRD-driven treatment strategy is suggested, although not largely applicable.
Disclosures
Pulsoni:MSD: Honoraria, Speakers Bureau; JANSSEN: Honoraria; Bristol Myers Squibb: Honoraria, Speakers Bureau; SANDOZ: Honoraria, Speakers Bureau; TAKED: Consultancy, Honoraria, Speakers Bureau; GILEAD: Consultancy, Honoraria, Speakers Bureau; Roche: Consultancy, Honoraria, Speakers Bureau. Ferrero:EUSA Pharma: Consultancy, Membership on an entity's Board of Directors or advisory committees, Speakers Bureau; Janssen: Consultancy, Membership on an entity's Board of Directors or advisory committees, Research Funding, Speakers Bureau; Abbvie: Consultancy; Sandoz: Consultancy; Beigene: Research Funding; Morphosys: Research Funding; Incyte: Membership on an entity's Board of Directors or advisory committees; Clinigen: Membership on an entity's Board of Directors or advisory committees; Servier: Membership on an entity's Board of Directors or advisory committees, Speakers Bureau; Gentili: Speakers Bureau; Italfarmaco: Membership on an entity's Board of Directors or advisory committees. Luminari:ROCHE: Membership on an entity's Board of Directors or advisory committees; Jannsen: Membership on an entity's Board of Directors or advisory committees; BMS: Membership on an entity's Board of Directors or advisory committees, Speakers Bureau; Beigene: Membership on an entity's Board of Directors or advisory committees; Incute: Membership on an entity's Board of Directors or advisory committees; Regeneron: Membership on an entity's Board of Directors or advisory committees, Speakers Bureau. Ferreri:Gilead, Incyte, Novartis, PentixaPharm, Roche: Consultancy; Ospedale San Raffaele srl.: Patents & Royalties; Adienne: Speakers Bureau; ADC Therapeutics, Amgen, BeiGene, BMS, Genmab, Gilead, Hutchison Medipharma, Novartis, Pharmacyclics, PentixaPharm, Pfizer, Roche: Research Funding. Zilioli:Servier: Speakers Bureau; Roche: Consultancy, Other: travel expenses; Gilead: Membership on an entity's Board of Directors or advisory committees, Research Funding; Lilly: Speakers Bureau; Janssen: Other: travel expenses, Speakers Bureau; MSD: Membership on an entity's Board of Directors or advisory committees, Research Funding; Incyte: Speakers Bureau; Novartis: Membership on an entity's Board of Directors or advisory committees; Takeda: Membership on an entity's Board of Directors or advisory committees, Other: travel expenses, Speakers Bureau. Musuraca:Abbvie: Membership on an entity's Board of Directors or advisory committees; Takeda: Membership on an entity's Board of Directors or advisory committees; Janssen: Membership on an entity's Board of Directors or advisory committees; Incyte: Membership on an entity's Board of Directors or advisory committees. Nassi:Roche: Consultancy; Eli Lilly: Speakers Bureau; EUSApharma: Speakers Bureau; Incyte: Consultancy, Speakers Bureau; Janssen: Speakers Bureau; Kiowa Kirin: Consultancy, Speakers Bureau; Takeda: Consultancy, Speakers Bureau. Corradini:Janssen: Other: Honoraria (Consulting, advisory role, or lecturer), Travel and accomodations; Sanofi: Other: Honoraria (Consulting, advisory role, or lecturer); Daiichi Sankyo: Other: Honoraria (Consulting, advisory role, or lecturer); Nerviano Medical Science: Other: Honoraria (Consulting, advisory role, or lecturer); Roche: Other: Honoraria (Consulting, advisory role, or lecturer), Travel and accomodations; Pfizer: Other: Honoraria (Consulting, advisory role, or lecturer); Novartis: Other: Honoraria (Consulting, advisory role, or lecturer), Travel and accomodations; Kyowa Kirin: Other: Honoraria (Consulting, advisory role, or lecturer); Incyte: Other: Honoraria (Consulting, advisory role, or lecturer); Gilead/Kite: Other: Honoraria (Consulting, advisory role, or lecturer), Travel and accomodations; Celgene: Other: Honoraria (Consulting, advisory role, or lecturer), Travel and accomodations; ADC Theraputics (DSMB): Other: Honoraria (Consulting, advisory role, or lecturer); Amgen: Other: Honoraria (Consulting, advisory role, or lecturer), Travel and accomodations; AbbVie: Other: Honoraria (Consulting, advisory role, or lecturer), Travel and accomodations; SOBI: Other: Honoraria (Consulting, advisory role, or lecturer); Takeda: Other: Honoraria (Consulting, advisory role, or lecturer), Travel and accomodations; GlaxoSmithKline: Other: Honoraria (Consulting, advisory role, or lecturer); BeiGene: Honoraria; Bristol Myers Squibb: Other: Travel and accomodations. Tani:Abbvie, Jansen-Cilag, Incyte: Membership on an entity's Board of Directors or advisory committees. Galimberti:Abbvie, Janssen, Novartis, Roche, Jazz, Astra Zeneca, Pfizer, Incyte: Speakers Bureau. Ladetto:Novartis: Honoraria. Del Giudice:Astra-zeneca, Janssen: Honoraria, Membership on an entity's Board of Directors or advisory committees.

This feature is available to Subscribers Only
Sign In or Create an Account Close Modal